■ LUYUE CHEMICAL ■
Poly(DADMAC/AM)Series
■ Product introduction
[CAS Name] 2-Propen-1-aminium,N,N-dimethyl-N-2-Propenyl-,chloride,polymer with 2-propenamide
[CAS No.] 26590-05-6
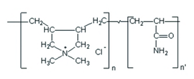
[Molecular Formula](C8H16NCI) n (C3H5NO) n'
[Structure]

[Property]
The appearance is clear to light yellow viscose liquid, specific weight: 1.02g/cm3, resolve temperature^50℃. Be dissolved in water easily, good stability. This series of polymer is the highly charged cationic copolymer of dially dimethyl ammonium chloride and acrylamide,cationic, high polymer weight, has the characteristics of electron neutralization and bridge absorbtion.
■ Specification

■ Use
This product is used as sludge condition fl occulants in the industrial sewage treatment and municipal sewage treatment, waste watertreatment system. Especially in treating original sewage and disposing wastewater, food wastewater, fermentation wastewater, organic sludge suspended solids and biodegrading sludge dewater, as well as clarifi eating all kinds of industrial sewage. It also can be used asretention agent and fi ber wastewater sewage dewatering agent in papermaking. In the mining and the process of mineral, it is used intreating all kinds of mineral slurry, also can be used in treating the oil-water separator, oil dehydration and oily wastewater in oil refineryand oilfi eld. It also can be extensively used the daily chemicals and textile industry.
■ Package& Storage
50Kg PE Drum, 125KgPE Drum, 200Kg PE Drum, 1000Kg IBC Tank.
Storage and Transportation:
Pack and preserve the product in a sealed, cool and dry condition, and avoid contacting strong oxidants.
The term of validity: Two years.
Transportation: Non-dangerous goods.